Parasitological aspects of malaria during pregnancy at the Brazzaville University Hospital Centre

Research Article - (2025) Volume 9, Issue 2

Sekangue Obili Geril1,2*, Potokoue Mpia Nuelly Samantha Bialay2,3, Emani Charlaine2,3, Buambo Gauthier Regis Jostin2,3, Itoua Clautaire2,3 and Iloki Hervé Léon2,3
*Correspondence: Sekangue Obili Geril, Department of Parasitology Mycology, Centre Hospitalier et Universitaire de Brazzaville, Congo, Email:
1Department of Parasitology Mycology, Centre Hospitalier et Universitaire de Brazzaville, Congo
2Department of Parasitology Mycology, Marien Ngouabi University, Brazzaville, Congo
3Department of Obstetrics and Gynecology, Centre Hospitalier Universitaire de Brazzaville, Congo

Received: 07-Jul-2025, Manuscript No. AJPROAJ-25-168404; Editor assigned: 10-Jul-2025, Pre QC No. AJPROAJ-25-168404 (PQ; Reviewed: 24-Jul-2025, QC No. AJPROAJ-25-168404; Revised: 01-Sep-2025 Published: 28-Sep-2025

Abstract

Introduction: Malaria is a febrile erythrocytopathy representing a major public health problem. It affects pregnant women and is responsible for disorders of varying severity, ranging from haematological changes to loss of pregnancy or even death. The aim of this study was to investigate the parasitological aspects of malaria in pregnant women at Brazzaville University Hospital Centre.

Patients and method: This was a cross-sectional analytical study conducted from May 1st to September 30, 2020, in the obstetrics and gynaecology department of the Brazzaville University Hospital Centre. Pregnant women hospitalized for malaria constituted the study population. The files retained were those of pregnant women with a thick drop result for haematozoa. The variables studied were socio-demographic, reproductive and parasitological. The threshold was significant when p<0.05.

Results: The median age of malaria-infected pregnant women was 26, ranging from 15 to 35 years. The age group most affected by malaria was (20-25 years) (26.0%, p=0.013). Pregnant women were mostly nulliparous, in the 3rd trimester of pregnancy, uneducated, not engaged in any gainful activity, single, with a low socio-economic level. Malaria incidence was highest in 2019 (39.5%; p=0.002). Plasmodium falciparum was the only species implicated in gestational malaria. Malaria frequency was higher during the rainy than the dry seasons (60.4% vs. 44.6%; p<0.001). Mean parasite density was higher during the long dry season, at 15597.0 parasites/µl blood (p=0.217). Parasite density classes were significantly higher in the 2nd and 3rd quarters (p<0.05).

Conclusion: Malaria in pregnant women remains a worrying reality in the obstetrics and gynecology department. The rainy seasons were those in which pregnant women suffered most from malaria.

Keywords

Malaria, Pregnant women, Parasitological aspects, Parasite density, Brazzaville

Introduction

Malaria is an erythrocytopathy caused by the presence in the body of Plasmodium, transmitted to humans by the bite of the female Anopheles mosquito. It is a major public health problem worldwide. In 2019, malaria affected 229 million people [1]. Malaria affected almost 11 million pregnant women in 2018. The most dreaded species is Plasmodium falciparum, which is endemic in our country and is the main species responsible for severe forms of malaria [2-4]. It is responsible for significant morbidity and mortality, especially among children under five and pregnant women [5]. Its manifestations are clinical and biological. Biological manifestations vary in type and severity [6]. In pregnant women, pregnancy is responsible for a number of biological changes and a certain degree of immunodepression, making them more prone to malaria than women outside pregnancy. Biological changes in pregnant women linked to the presence of Plasmodium are mainly hematological [7, 8]. Bouyou-Akotet in Libreville [9], Akinboro RA [10] and Nosten F [11], have highlighted the biological manifestations of malaria in pregnant women, in the form of reduced haemoglobin, lower platelets, changes in white blood cells and variations in parasitaemia. These biological changes aggravate malaria in pregnant women, just as malaria has repercussions on pregnancy (WHO, 2019).

In the Congo in general and at the Brazzaville University Hospital Centre in particular, we have not found any study on the parasitological aspects of malaria in pregnancy. We therefore set out to analyze the parasitological aspects of malaria in pregnant women at Brazzaville University Hospital Centre.

Materials and Methods

This was a retrospective cross-sectional study conducted in the gynecology-obstetrics department of the Centre Brazzaville University Hospital from May 1 to September 30, 2020. The study period was from January 02, 2014 to December 30, 2019, i.e., a duration of five (05) years.

The study population was made up of pregnant women hospitalized in gynecology and obstetrics units for malaria, regardless of the term of pregnancy.

We took into account all hospitalized pregnant women for whom malaria had been diagnosed and which contained information from ANC forms and thick drop results for hematzoa (GERH). We did not include all malaria-infected pregnant women for whom the GERH result was not found. We carried out an exhaustive sampling of the files of pregnant women hospitalized for malaria.

The variables studied were socio-demographic (age, occupation, level of education, socio-economic level and marital status); reproductive (gestiture, parity and gestational age) and parasitological (parasite density, plasmodial species).

A survey form was used to collect clinical and paraclinical data. These were collected from medical records and the hospitalization register.

The paraclinical data concerned the thick drop test for haematozoa, which was performed using two (02) drops of blood taken from the fingertip of the patient's non-dominant hand.

One drop was placed on the end of a slide and spread out in circular movements to a diameter of 1cm. It was then stained using the Giemsa 10% staining technique for 15 minutes.

The second drop was placed on the other end of the same slide and established to obtain a thin smear. It was made by first fixing the dried smear with alcohol, then covering it with May Grunwald for 3 minutes and finally staining with Giemsa 10% for 15 minutes.

The J.F Trapes classification was used to classify parasitic densities into five (5) classes:

Class 1: Parasite density between 1-49 parasites per microlite of blood (p/µl blood).
Class 2: Parasite density between 50-499 (p/µl blood).
Class 3: Parasite density between 500-4999 (p/µl blood).
Class 4: Parasite density between 5000-49999 (p/µl blood).
Class 5: Parasite density greater than 50. 000 (p/µl blood).

• The database was created using Microsoft Excel version 2013 and statistical analyses were carried out using R (Core Team) version 4.0.3.

• Quantitative variables were expressed as mean ± standard deviation and these means were compared using Student's t-test or the Mann Whitney test.

For qualitative variables, frequencies (n) and proportions (%) were calculated. These frequencies were compared using Pearson's Chi-square test of independence or Fisher's exact test when the expected number of participants was less than 5. The significance threshold was p<0.05.

Results

The median age of malaria-infected pregnant women was 26 years, with extremes of 15 and 45 years. Pregnant women were, significantly (p=0.013), aged between 20-25 years and 25-30 years. The majority were uneducated, had no income-generating activities, were single and had a low socio-economic status (p=0.074) (Tables 1 and 2).

 

Malaria-infected gestation

p-value*

N=354

(%)

Age ranges

15-20

70

19.8

0.013

20-25

92

26

25-30

91

25.7

30-35

56

15.8

35-45

45

12.7

Occupation

Income-generating activities

84

23.7

0.229

Non-income-generating activities

270

76.3

Educational level

Primary

33

9.32

0.001

Secondary

97

27.4

High school

77

21.8

Uneducated

147

41.5

Marital status

Couple

59

16.7

<0.001

Single

295

83.3

Socio-economic level

Medium

59

16.7

0.074

High

7

1.98

Low

288

81.4

Note: *Chi2 test of independence

Table 1: Socio-demographic characteristics of malaria-infected and non-malaria-infected pregnant women during the study

 

Malaria-infected gestation 

p-value*

N=354

(%)

Gestite

Primigest

83

23.4

0.181

Paucigest

137

38.7

Multigest

134

37.9

Parity

Nulliparous

116

32.8

0.042

Primiparous

93

26.3

Pauciparous

113

31.9

Multiparous

32

9.04

Gestational age

1er trimester

40

11.3

<0.001

2e trimester

125

35.3

3e trimester

185

52.3

≥ 42 SA

4

1.13

Table 2: Reproductive characteristics of malaria-affected and non-malaria-affected pregnant women during the study period.

Frequency of malaria in pregnant women affected by malaria

The frequency of pregnant women hospitalized for malaria varied between 2014 and 2019, with a significant increase (p=0.002) in 2019 (39.5%) (Figure 1).

ajproaj-freqency
 

Figure 1: Frequency of malaria by year in pregnant women infected with malaria during the study period.

Frequency of malaria in malaria-infected pregnant women by season

Depending on the season, pregnant women had significantly more malaria during the rainy season than during the dry season. The frequency of malaria during the rainy season was significantly (p<0.001) twice as high as during the short dry season.

The frequency of malaria in pregnant women was significantly different (p<0.001) between the high and low rainy seasons, with 30.5% and 29.9% respectively and between the high and low dry seasons, with 24.9% and 14.7% respectively.

Plasmodium species isolated

Plasmodium falciparum was the species found in 100% of cases (Nosten F, 2009).

Variations in parasite densities during the study period in malaria-infected gestating females

Parasite densities in gestating females varied from year to year, with a peak observed during 2018. This was followed by a decline that remained higher than in the years 2014 to 2017 (Figure 2).

ajproaj-freqency
 

Figure 2: Evolution of average parasite density by year during the study period.

Average parasite densities in the seasons

Pregnant females showed higher average parasite densities in the dry season than in the rainy season, with no significant difference (Figure 3).

ajproaj-freqency
 

Figure 3: Seasonal variations in average parasite density during the study period.

ajproaj-freqency
 

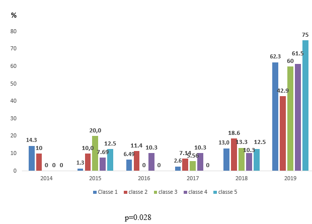
Figure 4: Parasite density classes as a function of year in pregnant women infected with malaria during the study period.

Parasite density classes according to JF Trapes in gestating females during the study period by year and season

Parasite density classes 1 and 2 were the most significantly found with 34.4% and 32.4% respectively (p<0.001), followed by class 4: 14.4%; class 3: 13.4%; then class 5: 3.6%.

Parasite density classes according to JF Trapes in malaria-infected pregnant animals by year during the study period

Parasite density classes varied from year to year (p<0.05). In 2019, parasite density classes were significantly higher than in years prior to 2019, as shown in Figure 5.

Parasite density classes according to gestational age in malaria-affected pregnant women

Parasite density classes were significantly (p<0.05) higher in the 2nd and 3rd trimesters than in the 1st trimester (Figure 5).

ajproaj-freqency
 

Figure 5: Parasite density classes as a function of gestational age in pregnant animals affected by malaria during the study period

Discussion

We carried out a 5-year retrospective study based on data from archived files in the CHUB obstetrics and gynecology department. Like most retrospective studies, we observed a lack of certain data, reflected by a lack of completeness of erythrocyte, haematological and parasite density parameters in particular and other biological parameters in general. This led us to limit our study to the aspects of parasite density and anemia, without rigorously taking into account the type of anemia present.

The loss of data prevented us from accurately and consistently matching the cases and controls considered in the study. Hence the variability in the matching factor.

These findings, in terms of data loss, were also noted by Fomba S in Bamako [12].

The chosen study population is characterized by physiological disturbances that can be biasing factors in the assessment of certain results, such as anemia. Pregnant women are often subject to physiological anemia [13]. However, the absence of fever in the controls could be an element that would allow a better comparison of the two groups.

As far as parasite density is concerned, since the results are probably not reported by the same technician, there may be a bias in the values of parasite densities in the results. This is a hazard that our retrospective study could not correct.

The median age of pregnant women affected by malaria was 26 years, with extremes of 15 and 45 years. This age of the gestating women corresponds roughly to the average pregnancy age of women of childbearing age according to the 2018 general population and housing census of Congo [14]. The same average age of 26 was found in Libreville by Bouyou-Akotet MK et al. These results are similar to those of Fomba S in Bamako, Ouedraogo CMR in Ouagadougou [15] and Fenomanana MS in Madagascar.

However, it should be noted that Ouedraogo A in Bousse, north of Ouagadougou, found an average age of 23 years among pregnant women with malaria [16]. The notable difference between our results and those of Ouedraogo A can be explained by the fact that his study was carried out in a rural area where the influence of tradition is still strong, implying that women start childbearing early. In urban areas, on the other hand, women start childbearing later and later.

In Nigeria, in the province of Osogbo, Akinboro RA [10] showed that the average age of pregnant women affected by malaria was 31 years. This is much higher than our results. Cultural and religious realities could explain this difference.

In our study, the majority of pregnant women affected by malaria had a poor level of education (no schooling and primary education). This can be explained either by a lack of adequate care or by a failure to understand the malaria prevention instructions given to pregnant women by health workers during pregnancy follow-up.

This trend has been found in several African studies [15].

Our results are in line with the literature, which shows that primigravida, paucigravida and primiparous women are the most prone to malaria among pregnant women.

For example, Niang MM at Dakar University Hospital showed that nulliparous and pauciparous women had more malaria than multiparous women [17]. Similarly, Fenomanana MS, et al., showed a predominance of pauciparous women.

This predominance of nulliparous and pauciparous women could be explained, on the one hand, by their lack of experience of pregnancy and, on the other hand, by immunological aspects that would make pregnant women more resistant to malaria as pregnancies progress [18].

However, our study shows that, although not significant, the primigravida had less malaria. This could be an indication of the success of malaria prevention campaigns in this category of pregnant women.

The reversal of trends in gestational age highlighted by our study, i.e., a preponderance of malaria in the third trimester of pregnancy, could be further proof that the first trimesters of pregnancy are the focus of attention on the part of pregnant women. But, on the other hand, our results show that the third trimester of pregnancy is likely to become more dangerous for pregnant women than the first two.

Balogun ST and al in Oyo State [19], Akinboro RA and al in Ile-Ife, Nigeria; and Ouédraogo CMR obtained results similar to ours.

On the other hand, Fenomanana MS, et al., in Toamasina found a predominance of pregnant women in the second trimester of pregnancy.

Such an increase in malaria cases in the third trimester of pregnancy should raise fears of a resurgence of congenital malaria cases, as placental infestation occurs during the second and third trimesters of pregnancy.

According to the latest World Health Organization (WHO) report on malaria, there is a general downward trend in malaria cases both in the general population and in pregnant women. However, our results show a rise in cases of malaria in pregnant women at Brazzaville University Hospital in 2018 and 2019. This upturn was preceded by a decline in malaria in pregnant women during the years 2014-2017.

This upturn in cases of malaria in pregnant women could be explained by a drop in efforts to combat malaria in pregnant women. This decline is itself linked to a reduction in the funds allocated to the fight against this endemic at global level in general and at congolese level in particular. This reduction in the state's contribution is reflected not only in the field, with the suspension of strategies to subsidize free malaria treatment for pregnant women and children under 5, but also in the reports of the national malaria control program. However, it should be noted that Brazzaville University Hospital is not the only country where malaria trends do not follow general trends. Another element highlighted by the present work is also proven in the literature. This is the preponderance of malaria during the rainy season as opposed to the dry season (which corresponds to a period of low temperatures). This result is in line with the seasonality of malaria in our country. It has also been found in Ouagadougou, Madagascar and Bamako.

Parasite densities were lower in the first quarter than in the third, whereas the reverse would be more understandable. However, this could be attributed to the effectiveness of upstream preventive measures among pregnant women prior to pregnancy; but it could also be due to the fact that pregnant women with a higher level of education would be more numerous in this category than others. The absence of this data leaves us to speculate on a clearer explanation for this result. Alternatively, it would be interesting to carry out a long-term prospective study to confirm this observation. We can also explain these results by an over representation of pregnant women in the second and third trimesters of pregnancy. On the other hand, class 5 parasite density was more common in primiparous and primigravida than in other categories. This result is in line with scientific arguments supporting an increase in malaria intensity during the first weeks of pregnancy. On the other hand, these results corroborate the theory of malaria reactivation during the first pregnancy, as the uterus and placenta become new sites for parasite localization [19].

Conclusion

The parasitological aspects of malaria in pregnant women at Brazzaville University Hospital are varied. In the present study, we found that malaria in pregnant women was much more prevalent in nulliparous, uneducated pregnant women in the 2nd and 3rd trimesters of pregnancy. The frequency of malaria remains high, although varying from year to year. The rainy seasons were those in which pregnant women suffered most from malaria. The classes with the highest parasite densities were classes 1 and 2.

Conflict of Interest

None.

References

Awards Nomination

Select your language of interest to view the total content in your interested language

Indexed In
  • CAS Source Index (CASSI)
  • Index Copernicus
  • Sherpa Romeo
  • Open J Gate
  • Academic Keys
  • ResearchBible
  • Directory of Open Access Journals
  • CiteFactor
  • SCOPUS
  • Electronic Journals Library
  • OCLC- WorldCat
  • Publons
  • Euro Pub